Handleiding
Je bekijkt pagina 9 van 24

9
DS200
REMOTE 
CONTROL
REMOTE 
CONTROL
DIGITAL
SOURCES
DS200
(DAC MODE)
PRE-AMP
(VOLUME CONTROL)
POWER
AMP
DIGITAL
SOURCES
DS200
(PRE-AMP/DAC MODE)
POWER
AMP
DIGITAL
AUDIO
POWER
CONTROL
DATA
POWER
CONTROL
DATA
VARIABLE
ANALOG
AUDIO
DIGITAL
AUDIO
POWER
CONTROL
VARIABLE ANALOG AUDIO
POWER CONTROL
POWER
CONTROL
FIXED
ANALOG
AUDIO
REMOTE 
CONTROL
REMOTE 
CONTROL
DIGITAL
SOURCES
DS200
(DAC MODE)
PRE-AMP
(VOLUME CONTROL)
POWER
AMP
DIGITAL
SOURCES
DS200
(PRE-AMP/DAC MODE)
POWER
AMP
DIGITAL
AUDIO
POWER
CONTROL
DATA
POWER
CONTROL
DATA
VARIABLE
ANALOG
AUDIO
DIGITAL
AUDIO
POWER
CONTROL
VARIABLE ANALOG AUDIO
POWER CONTROL
POWER
CONTROL
FIXED
ANALOG
AUDIO
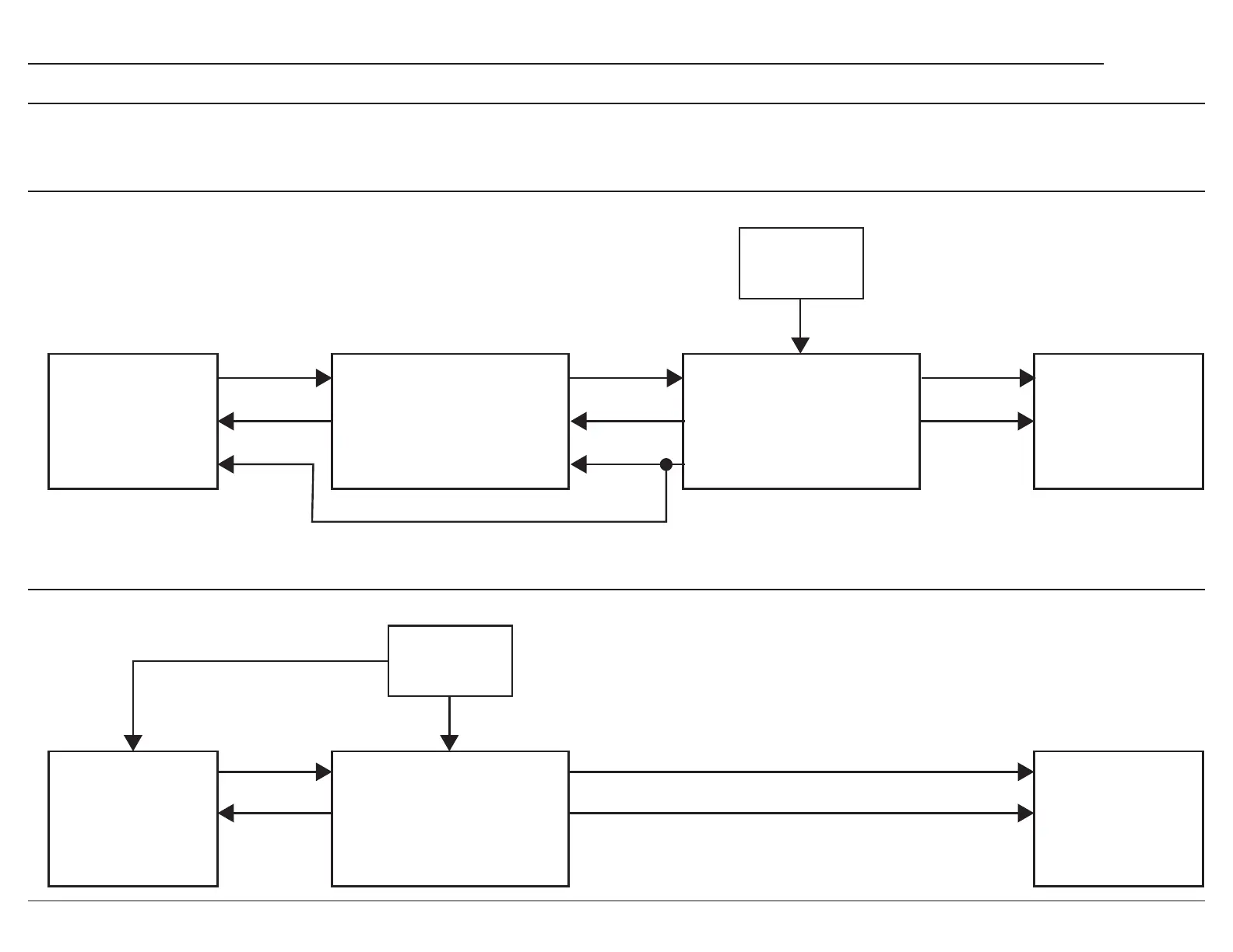
System Conguration for DAC Mode 
  Setup Menu Notes:
     Level Adjust  =  Fixed (default)
            Front IR  =  Disabled
          Power IR  =  Disabled
            Input IR  =  Disabled
System Conguration for Preamp / DAC Mode 
System Congurations
Shown below are two dierent system congurations. Your system may vary from this, however the actual components would be connected in a similar manner. 
Note: The preamplifier or power amplifier may be connected to the DS200 balanced or unbalanced outputs.
  Setup Menu Notes:
     Level Adjust  =  Adjustable
            Front IR  =  Enabled
          Power IR  =  Enabled
            Input IR  =  Enabled
Bekijk gratis de handleiding van McIntosh DS200, stel vragen en lees de antwoorden op veelvoorkomende problemen, of gebruik onze assistent om sneller informatie in de handleiding te vinden of uitleg te krijgen over specifieke functies.
Productinformatie
| Merk | McIntosh | 
| Model | DS200 | 
| Categorie | Speaker | 
| Taal | Nederlands | 
| Grootte | 4494 MB |