Sime Murelle 70 Box ErP handleiding
Handleiding
Je bekijkt pagina 11 van 56

11
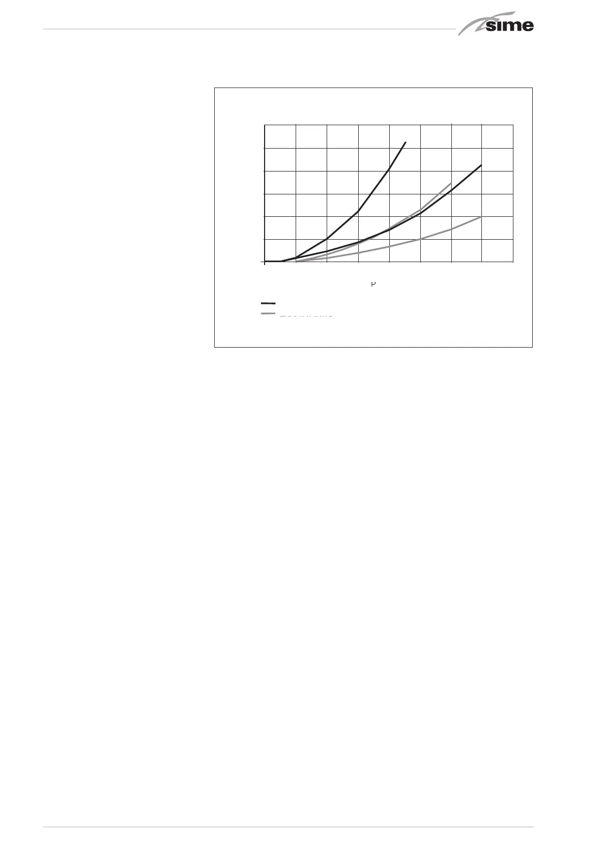
2.8 LOAD LOSS HYDRAULIC
SEPARATOR (fig. 10)
Hydraulic separator load losses are indi-
cated in the diagram in figure 10.
2.9 ELECTRICAL
CONNECTIONS
Each module is supplied with a power cord
which, if replacement is required, it must
be replaced with one of similar type and
dimensions. 230V – 50 Hz single phase
voltage is required using a fuse protected
main switch with at least 3 mm. between
contacts.
Observe the L – N polarity and ground-
ing connection. Each generator should be
fused at 3 A.
NOTE: Sime declines all responsibility
for injury or damage to persons, animals
or property resulting from the failure to
provide for proper earthing of the appli-
ance.
200
250
300
2
PORTATA (m
3
/h)
46810 12
0
50
100
150
˘p (mbar)
14
60 BFR - HE 50 R
HE 35 R
15
100 BFR - HE 110 R
LATO CALDAIA
LATO IMPIANTO
60 BFR - HE 50 R
HE 35 R
100 BFR - HE 110 R
200
250
300
2
PORTATA (m
3
/h)
46810 12
0
50
100
150
˘p (mbar)
14
70 R ErP
50 R ErP
35 R ErP
15
110 R ErP
92.5 R
LATO CALDAIA
LATO IMPIANTO
70 R ErP
50 R ErP
35 R ErP
110 R ErP
92.5 R
Fig. 10
CAPACITY (m
3
/h)
BOILER SIDE
SIDE HEATING SYSTEM
Bekijk gratis de handleiding van Sime Murelle 70 Box ErP, stel vragen en lees de antwoorden op veelvoorkomende problemen, of gebruik onze assistent om sneller informatie in de handleiding te vinden of uitleg te krijgen over specifieke functies.
Productinformatie
| Merk | Sime |
| Model | Murelle 70 Box ErP |
| Categorie | Niet gecategoriseerd |
| Taal | Nederlands |
| Grootte | 8576 MB |







