IFM AL1590 handleiding
Handleiding
Je bekijkt pagina 22 van 241

AL1590 SolutionBlock IO-Link master
22
The XD1 port is equipped with reverse polarity protection (US, UA).
WARNING
No internal fusing of the supply voltages US and UA for daisy chaining
w Fire hazard in the event of overload or short circuit
u Limit or fuse the supply voltages US and UA externally.
u Observe technical data, derating values and applicable regulations!
w Protection is guaranteed.
Wiring:
3
1 4
2
5
1: L+ (US)
2: L- (UA)
3: L- (US)
4: L+ (UA)
5: FE
u Disconnect power.
u Connect the device via port XD1 to the supply voltage US with 24VDC (18...30VPELV).
u Connect the device via port XD1 to the supply voltage UA with 24VDC (18...30VPELV).
u Use an EVCA-type L-coded M12 plug connection from ifm for the connection (min. protection
rating: IP65 / IP66 / IP67).
u Tighten the cable sockets according to the torque specifications indicated by the cable vendor.
Maximum permissible tightening torque: 0.9Nm
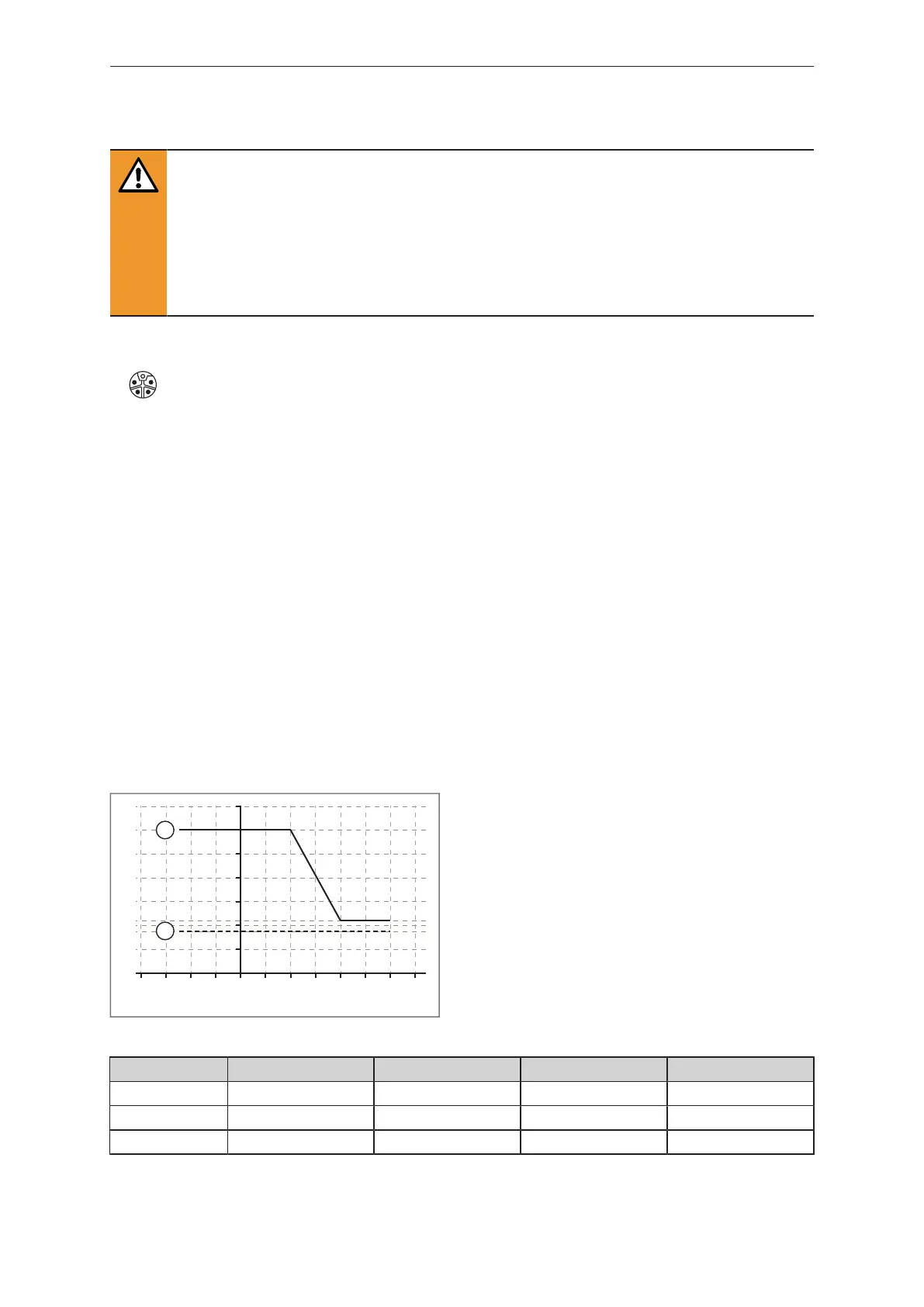
6.8.1 Derating behaviour
The current I
US
available at ports X1...X8, the current I
UA
available at ports X1...X4, and the currents I
US-
daisy-chain
and I
UA-daisy-chain
available at port XD2 depend on the ambient temperature of the device.
• I
US
(XD1) = I
US
(X1…X8) + I
US-daisy-chain
(XD2)
• I
UA
(XD1) = I
UA
(X1…X4) + I
UA-daisy-chain
(XD2)
Height: 2000m
-40 -30 -20 -10 0 10 20 30 40 50 60 70
2
4
6
8
10
12
14
Current [A]
Temperature [°C]
1
2
1: I
US-daisy-chain
(XD2), I
UA-daisy-chain
(XD2)
2: I
US
(X1…X8), I
UA
(X1…X4)
Example:
Temperature I
US
(X1…8) I
US-daisy-chain
(XD2) I
UA
(X1…X4) I
UA-daisy-chain
(XD2)
20°C 3.6A 12 A 3.6A 12 A
30°C 3.6A 8 A 3.6A 8 A
40°C 3.6A 4.3 A 3.6A 4.3 A
Bekijk gratis de handleiding van IFM AL1590, stel vragen en lees de antwoorden op veelvoorkomende problemen, of gebruik onze assistent om sneller informatie in de handleiding te vinden of uitleg te krijgen over specifieke functies.
Productinformatie
Merk | IFM |
Model | AL1590 |
Categorie | Niet gecategoriseerd |
Taal | Nederlands |
Grootte | 20388 MB |