GLP impression X5 IP handleiding
Handleiding
Je bekijkt pagina 18 van 41

www.glp.de X5 IP
18 impression X5 IP User Manual
iQ.Gamut
iQ.Gamut is a new LED calibration technology from GLP that defines the color
gamut for the color mixing channels. You can select one of a range of calibrated
iQ.Gamuts for the fixture to work within. This feature can be useful if you want to
reproduce correct colors or avoid TV camera clipping. The iQ.Gamut setting will only
affect the color mix if the fixture is in RGB Color Mix Mode. In all other Color Mix
modes this setting has no effect.
The following iQ.Gamut settings are available:
• FULL (default) – Color mixing is calibrated to the X5 color gamut and referenced
to the selected fixed white point. This setting gives the best results with
applications where deep saturated colors are needed.
• Rec.2020 – Color mixing is matched to the defined Rec.2020 gamut including its
white point. This setting gives the best results for UHD TV applications and
avoids color clipping.
• Rec.709 – Color mixing is matched to the defined Rec.709 gamut including its
white point. This setting gives the best results for HD TV applications and avoids
color clipping.
• DCI P3.6 – Color mixing is matched to the defined DCI P3.6 gamut including its
white
point.
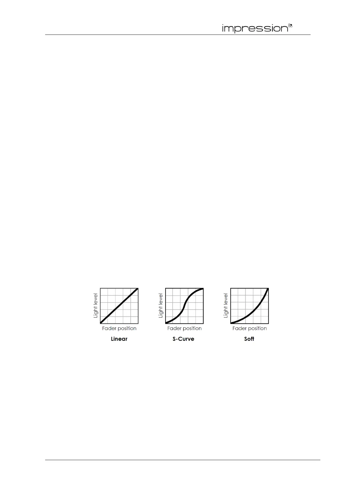
Dimming curves
The electronic dimming effect provides smooth 16-bit dimming of the Main module
and Sub module. The following three dimming curves are available:
● The Linear setting gives a dimming curve that the eye perceives as linear.
● The S-Curve setting gives finer control at lower light levels and at higher light
levels, with coarser control at medium light levels.
● The Soft setting gives finer control at lower light levels, where the eye is most
sensitive to changes in light intensity, and coarser control at higher light levels.
Note: Depending on the selected Sub module Mode, the dimmer and shutter
channels of the Sub module can operate independently of or subordinately to the
dimmer and shutter channels of the Main module.
Figure 1. Dimming curves
Bekijk gratis de handleiding van GLP impression X5 IP, stel vragen en lees de antwoorden op veelvoorkomende problemen, of gebruik onze assistent om sneller informatie in de handleiding te vinden of uitleg te krijgen over specifieke functies.
Productinformatie
| Merk | GLP |
| Model | impression X5 IP |
| Categorie | Verlichting |
| Taal | Nederlands |
| Grootte | 4489 MB |







