Festo EPCE-TB-45-50-FL-MF-ST-M-H1-PLK-AA handleiding
Handleiding
Je bekijkt pagina 34 van 36

34
Festo — EPCE-TB — 2023-11d
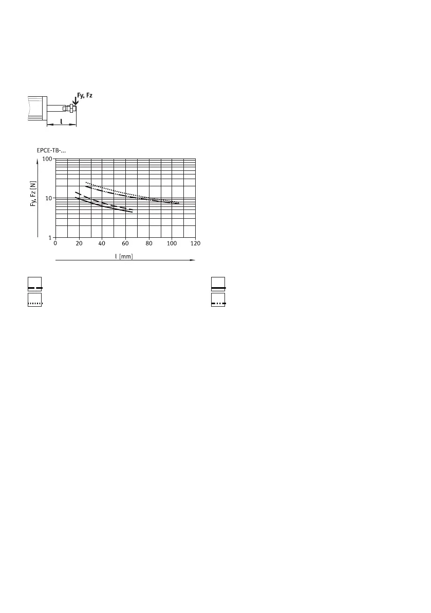
Technical data
Transverse load on piston rod EPCE-TB
Max. transverse loadFy, Fz on the piston rod as a function of the piston rod length l
Fig. 10: Max. transverse loadFy, Fz and piston rod lengthl
Fig. 11: EPCE, max. transverse loadFy, Fz as a function of the piston rod lengthl
EPCE-TB-45
EPCE-TB-60
EPCE-TB-45-MB/-MD/-MF
EPCE-TB-60-MB/-MD/-MF
Bekijk gratis de handleiding van Festo EPCE-TB-45-50-FL-MF-ST-M-H1-PLK-AA, stel vragen en lees de antwoorden op veelvoorkomende problemen, of gebruik onze assistent om sneller informatie in de handleiding te vinden of uitleg te krijgen over specifieke functies.
Productinformatie
Merk | Festo |
Model | EPCE-TB-45-50-FL-MF-ST-M-H1-PLK-AA |
Categorie | Niet gecategoriseerd |
Taal | Nederlands |
Grootte | 3174 MB |