Handleiding
Je bekijkt pagina 67 van 84

Air Conditioner Service Manual
67
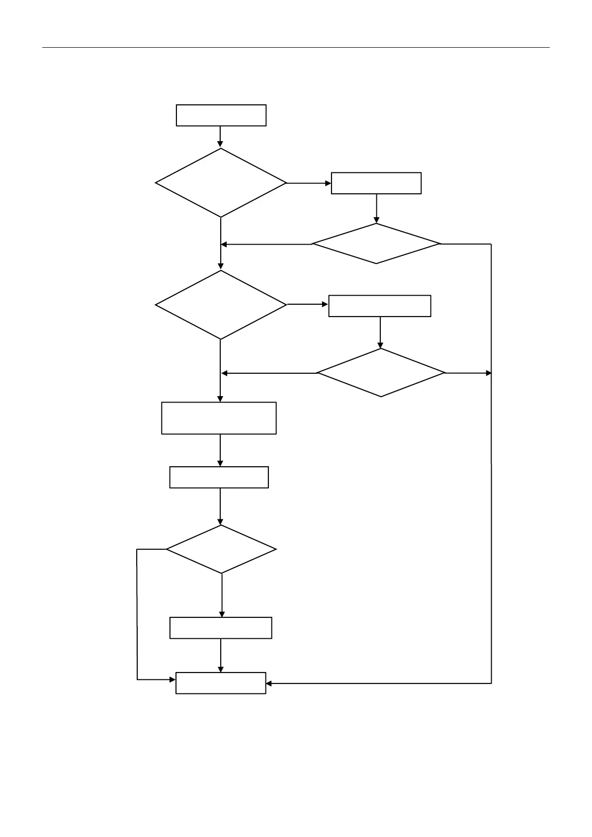
6.2.24 F6 The Compressor Lack of phase / Anti-phase protection.
If ODU PCB can’t test one, or even three phase of compressor current, it will show F6 protection.
Display F6
Check compressor
wiring connector, is
it well connected?
Re-connect
The Compressor
wiring in good quality?
Replace the wires
Compressor phase-
current test circuit failure
Replace ODU PCB
End
Replace compressor
No
No
No
Yes
Yes
Yes
Problem solved?
Problem solved?
Problem solved?
Yes
No
No
Yes
Bekijk gratis de handleiding van Daizuki DXMHT12E424-24, stel vragen en lees de antwoorden op veelvoorkomende problemen, of gebruik onze assistent om sneller informatie in de handleiding te vinden of uitleg te krijgen over specifieke functies.
Productinformatie
Merk | Daizuki |
Model | DXMHT12E424-24 |
Categorie | Airco |
Taal | Nederlands |
Grootte | 16081 MB |