Handleiding
Je bekijkt pagina 66 van 84

Air Conditioner Service Manual
66
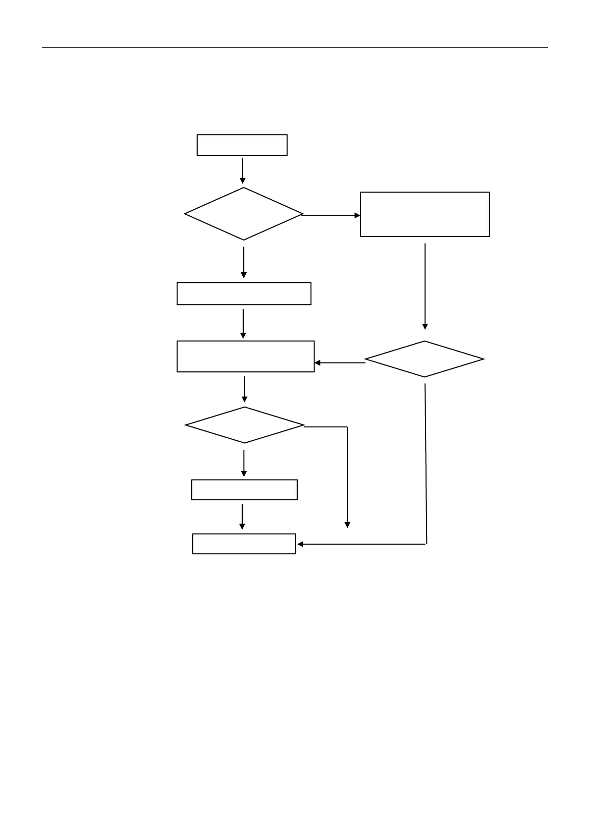
6.2.23 F5---PFC Protection
PFC Overcurrent protection
F5 Code
Display F5 by
random?
Check the power
supply, is it
abnormal? (this is
normal protection)
Display F5 frequently
Still F5?
End
Replace ODU
PCB
Yes
No
No
Switch off the unit for 3
minutes and re-switch
on
Yes
Still F5?
No
Yes
Bekijk gratis de handleiding van Daizuki DXMHT12E424-24, stel vragen en lees de antwoorden op veelvoorkomende problemen, of gebruik onze assistent om sneller informatie in de handleiding te vinden of uitleg te krijgen over specifieke functies.
Productinformatie
Merk | Daizuki |
Model | DXMHT12E424-24 |
Categorie | Airco |
Taal | Nederlands |
Grootte | 16081 MB |