Handleiding
Je bekijkt pagina 58 van 84

Air Conditioner Service Manual
58
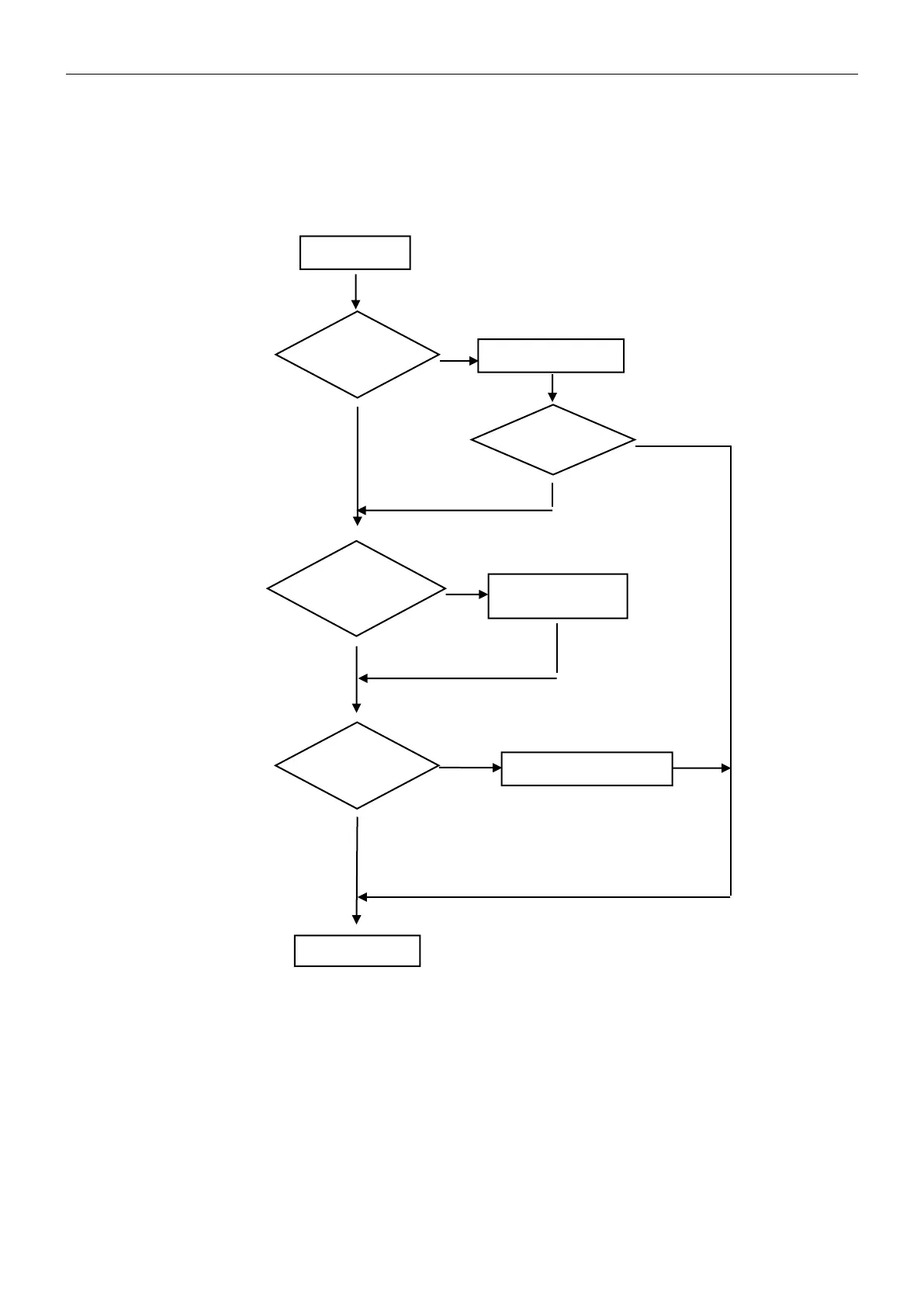
6.2.14 P2---Over Current protection
When the AC unit running current more than I
max
, it will stop and display P2 protection.
Note: for different AC model, I
max
has difference valve.
Display P2
ODU fan motor
works?
Replace fan motor
IDU filter or ODU
condenser too
dirty?
Clean IDU filter or
condenser
Re-start the unit,
P2 disappear?
No
Replace ODU PCB
Yes
Yes
End
P2 disappear?
No
Yes
No
Yes
No
Bekijk gratis de handleiding van Daizuki DXMHT12E424-24, stel vragen en lees de antwoorden op veelvoorkomende problemen, of gebruik onze assistent om sneller informatie in de handleiding te vinden of uitleg te krijgen over specifieke functies.
Productinformatie
Merk | Daizuki |
Model | DXMHT12E424-24 |
Categorie | Airco |
Taal | Nederlands |
Grootte | 16081 MB |