Handleiding
Je bekijkt pagina 29 van 52

D-EIMHP01405-21_11EN 29/52
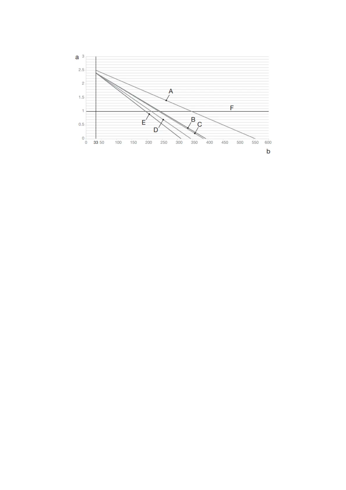
Refer to the graph below to determine the maximum water volume in order to calibrate the expansion vessel:
Figure 17 - Initial expansion vessel pressure based on maximum water volume
a Initial pressure of the expansion vessel [bar]
b Maximum water volume [L]
A Circuit without glycol
B Circuit with 30% ethylene glycol
C Circuit with 40% ethylene glycol
D Circuit with 30% propylene glycol
E Circuit with 40% propylene glycol
F Default
The default value for initial pressure, shown in the figure, refers to a difference in H of 7 metres.
If the total water volume in the entire circuit exceeds the permitted maximum volume, another expansion vessel must be
installed. If the difference in system H is less than 7 metres and the initial pressure reading is lower than the maximum
permitted value (refer to the graph), no adjustment of initial pressure is required.
If it is necessary to change the default initial pressure value (1 bar), take the following recommendations into
consideration:
• Use dry nitrogen only to set the initial pressure in the expansion vessel
•An inappropriate initial pressure setting in the expansion vessel will result in malfunctioning of the system.
Changes to the initial pressure of the expansion vessel must be made by reducing or increasing nitrogen pressure using
the Schrader valve on the expansion vessel.
NOTICE Only an authorised installer can adjust the initial pressure of the expansion vessel.
To check water volume: examples
Example 1
The unit is installed 5 m below the highest point in the water circuit. The total water volume in the water circuit is 250
litres. No actions or changes required.
Example 2
The unit is installed at the highest point in the water circuit. The total water volume in the water circuit (without the glycol)
is 420 l.
Actions:
As the total water volume (420 l) is higher than the preset water volume (340 l), pre-pressure must be reduced.
The required pre-pressure is:
Pg = (0,3+ (H / 10)) bar = (0,3+ (0/10)) bar = 0,3 bar
The corresponding maximum water volume is about 490 l (see graph).
As 420 l is less than 490 l, the expansion vessel is appropriate for the installation.
4.14 Antifreeze protection for BPHE and recovery exchangers
If the heat exchangers are completely empty and cleaned with antifreeze solution, additional methods can be used
against freezing.
The following protection methods must be considered when designing the system as a whole:
Bekijk gratis de handleiding van Daikin EWAT016CZP, stel vragen en lees de antwoorden op veelvoorkomende problemen, of gebruik onze assistent om sneller informatie in de handleiding te vinden of uitleg te krijgen over specifieke functies.
Productinformatie
Merk | Daikin |
Model | EWAT016CZP |
Categorie | Airco |
Taal | Nederlands |
Grootte | 9712 MB |