Handleiding
Je bekijkt pagina 54 van 72

TCL Air Conditioner Service Manual
54
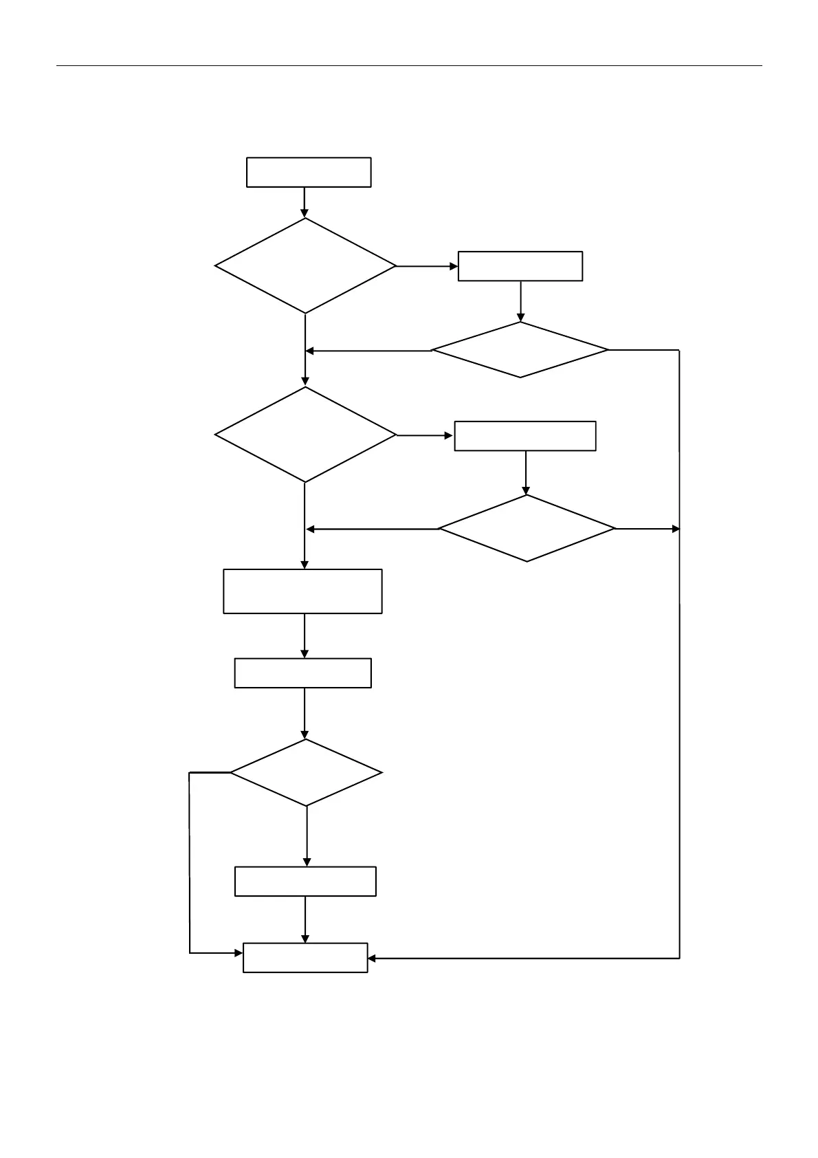
3.2.20 F6 The Compressor Lack of phase / Anti-phase protection.
If ODU PCB can’t test one, or even three phase of compressor current, it will show F6 protection.
Display F6
Check compressor
wiring connector, is
it well connected?
Re-connect
The Compressor
wirin
g
in
g
ood qualit
y
?
Replace the wires
Compressor phase-
current test circuit failure
Replace ODU PCB
End
Replace compressor
No
No
No
Y
es
Y
es
Y
es
Problem solved?
Problem solved?
Problem solved?
Y
es
No
No
Y
es
Bekijk gratis de handleiding van TCL TAC-09CSD, stel vragen en lees de antwoorden op veelvoorkomende problemen, of gebruik onze assistent om sneller informatie in de handleiding te vinden of uitleg te krijgen over specifieke functies.
Productinformatie
| Merk | TCL |
| Model | TAC-09CSD |
| Categorie | Airco |
| Taal | Nederlands |
| Grootte | 10827 MB |







