Sime Murelle Equipe 220 BOX ErP handleiding
Handleiding
Je bekijkt pagina 25 van 72

25
ES
ENG
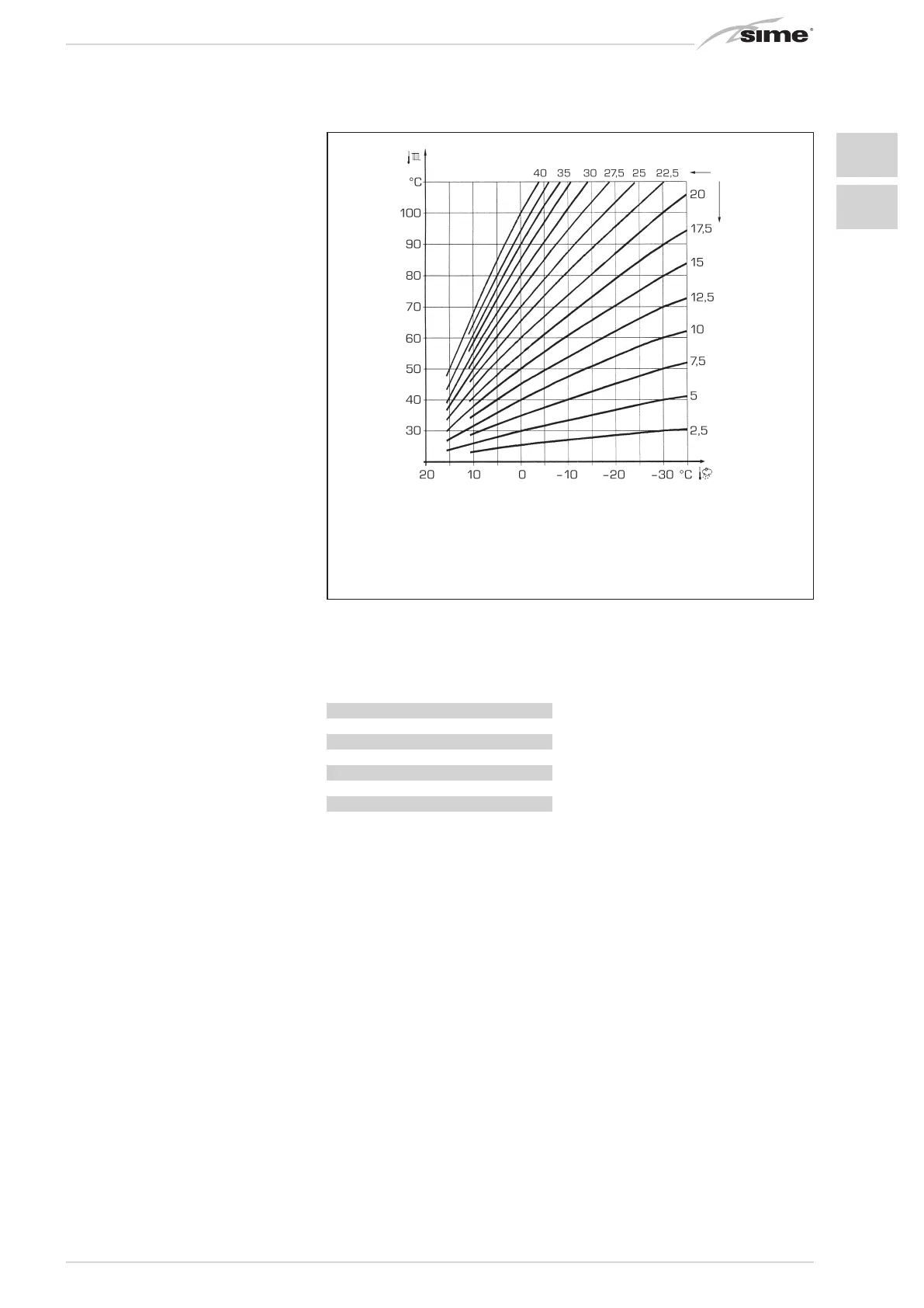
3.4 SONDA EXTERNA CONECTADA
(fig. 13)
En caso de presencia de sonda externa,
los ajustes de calefacción se obtienen de
las curvas climáticas en función de la
temperatura externa, y de todos modos se
mantienen dentro del rango indicado en 3.3
(parámetros PAR 22 para la zona 1, PAR 25
para la zona 2 y PAR 28 para la zona 3). La
curva climática se puede seleccionar entre
los valores de 3 y 40 (con pasos de 1).
Aumentando la pendiente representada
por la curva de la fig. 13, se incrementa la
temperatura de impulsión de la instalación
conforme a la temperatura externa.
3.5 FUNCIONES DE LA TARJETA
La tarjeta electrónica cumple las siguien-
tes funciones:
– Protección anticongelante circuito cale-
facción y sanitario (ICE).
– Sistema de encendido y detección de
llama.
– Programación en el panel de mandos
de la potencia y el gas para el funciona-
miento de la caldera.
– Antibloqueo de la bomba para que se ali-
mente durante unos segundos después
de 24 horas de inactividad.
– Protección antilegionella para caldera
con calentador acumulador.
– Limpiachimeneas activable desde el
panel de mandos.
– Ajuste de la temperatura con la sonda
externa conectada. Se ajusta desde el
panel de mandos y se activa tanto en el
circuito 1 como en el circuito 2 y 3 de la
calefacción.
– Gestión de 3 circuitos de calefacción
independientes.
– Regulación automática de la potencia de
encendido y máxima de calefacción. Las
regulaciones son gestionadas automáti-
camente por la tarjeta electrónica para
garantizar la máxima flexibilidad de uso
en la instalación.
– Interfaz con los siguientes sistemas
electrónicos: control remoto SIME HOME
cód. 8092281, termorregulación RVS,
conexión a una tarjeta de gestión de
una zona de mezcla ZONA MIX cód.
8092275/76, a la tarjeta SOLAR cód.
8092277 y a la tarjeta MODBUS cód.
8092278. Para la configuración de los
dispositivos con la tarjeta de la caldera,
programar el parámetro instalador PAR
10.
3.6 SONDAS DETECCIÓN DE
TEMPERATURA
En la Tabla 4 se indican los valores de resi-
stencia (Ω) que se obtienen en las sondas
de calefacción, sanitario y humos al variar
la temperatura.
Con la sonda ida de calefacción (SM),
retorno de calefacción (SR) y humos (SF)
interrumpida, la caldera no funciona en
ninguno de los dos servicios.
3.7 ENCENDIDO
ELECTRONICO
El encendido y la detección de llama se
controlan por dos electrodos puestos en
el quemador que garantizan la máxima
seguridad con tiempos de intervención por
apagados accidentales o falta de gas, den-
tro de un segundo.
3.7.1 Ciclo de funcionamiento
El encendido del quemador debe tener
lugar en un plazo de 10 segundos desde la
apertura de la válvula de gas.
Un fallo de encendido con consiguiente
activación de la señal de bloqueo puede
atribuirse a:
– Falta de gas
El electrodo de encendido persiste en
la descarga unos 10 segundos como
máximo; si no se verifica el encendido
del quemador, se señaliza la anomalía.
Puede ocurrir al primer encendido o
después de largos períodos de inactivi-
dad por presencia de aire en la tubería
del gas. Puede ser que el grifo del gas
esté cerrado o que la válvula tenga una
bobina interrumpida y no permita la
apertura.
– El electrodo de encendido no genera la
descarga
En la caldera se detecta sólo la apertura
del gas para el quemador; transcurridos
10 segundos se señaliza la anomalía.
La causa puede ser la interrupción del
cable del electrodo o su fijación incor-
recta en los puntos de conexión. El
electrodo está conectado a masa o muy
desgastado: es necesario sustituirlo. La
tarjeta electrónica está averiada.
– No hay detección de llama
En el momento del encendido se detec-
ta la descarga continua del electrodo
aunque el quemador resulte encendi-
do. Transcurridos 10 segundos, cesa la
descarga, se apaga el quemador y se
señaliza la anomalía.
La causa puede ser la interrupción del
cable del electrodo o su fijación incor-
recta en los puntos de conexión. El
electrodo está conectado a masa o muy
desgastado: es necesario sustituirlo. La
tarjeta electrónica es defectuosa.
Por falta imprevista de corriente el quema-
dor se apaga inmediatamente. Al volver la
TABLA 4
Temperatura (°C) Resistencia (Ω)
20 12.090
30 8.313
40 5.828
50 4.161
60 3.021
70 2.229
80 1.669
Fig. 13
ATENCIÓN: Las curvas se calculan con temperatura
ambiente de 20°C. El usuario puede utilizar los mandos
de la caldera para variarlas de ±5 °C el set ambiente para
el cual está calculada la curva.
Bekijk gratis de handleiding van Sime Murelle Equipe 220 BOX ErP, stel vragen en lees de antwoorden op veelvoorkomende problemen, of gebruik onze assistent om sneller informatie in de handleiding te vinden of uitleg te krijgen over specifieke functies.
Productinformatie
Merk | Sime |
Model | Murelle Equipe 220 BOX ErP |
Categorie | Niet gecategoriseerd |
Taal | Nederlands |
Grootte | 10629 MB |