Showtec Performer 1500 Fresnel handleiding
Handleiding
Je bekijkt pagina 31 van 40

30
Performer 1500 Fresnel Tungsten
Productcode: 33131
6.6.6.2. Dimmer
In dit submenu kunt u de dimmersnelheid wijzigen.
Selecteer DIMMER en druk op ENTER om het submenu te openen.
Druk op de knoppen OMHOOG en OMLAAG om een van de volgende opties te kiezen:
● DIM 1, DIM 2, DIM 3, DIM 4: niet-lineaire dimmers, van snel tot langzaam
● OFF: lineaire dimmer
Druk op ENTER om uw keuze te bevestigen.
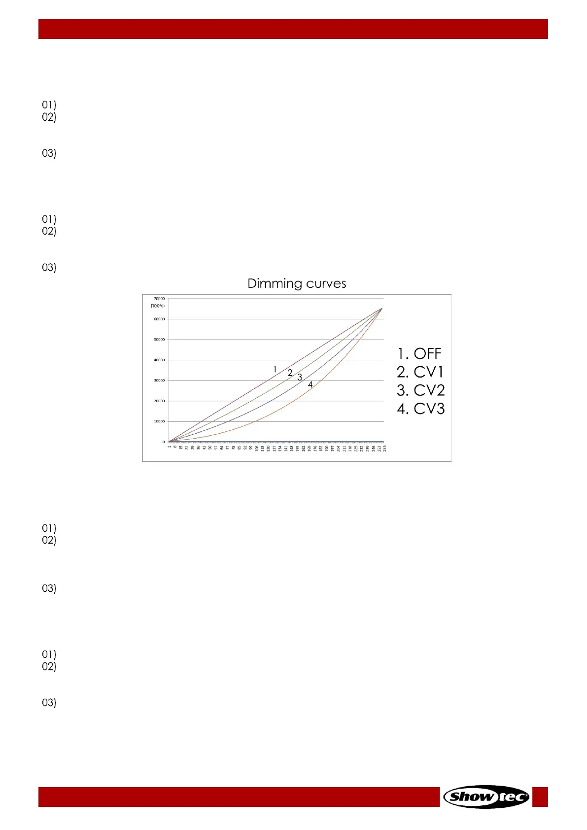
6.6.6.3. Dimcurves
In dit submenu kunt u de dimcurves instellen.
Selecteer CURV en druk op ENTER om het submenu te openen.
Druk op de knoppen OMHOOG en OMLAAG om een van de volgende opties te kiezen:
● CV1, CV2, CV3: niet-lineaire curves
● OFF: standaard dimcurve
Druk op ENTER om uw keuze te bevestigen.
6.6.6.4. DMX Error (DMX-fout)
In dit submenu bepaalt u hoe het apparaat reageert als het DMX-signaal wegvalt.
Selecteer DMX ERROR en druk op ENTER om het submenu te openen.
Druk op de knoppen OMHOOG en OMLAAG om te kiezen tussen de volgende 2 opties:
● SAVE: het apparaat blijft werken op basis van het laatste duidelijk ontvangen DMX-signaal. Dit
voorkomt onderbrekingen.
● BLACK: het apparaat gaat uit als het DMX-signaal wegvalt.
Druk op ENTER om uw keuze te bevestigen.
6.6.6.5. PWM RATE
In dit submenu kunt u de PWM-frequentie (Pulse Width Modulation) instellen.
Selecteer PWM en druk op ENTER om het submenu te openen.
Druk op de knoppen OMHOOG en OMLAAG om de gewenste PWM-frequentie te kiezen. De
beschikbare opties zijn: 600 Hz, 1200 Hz, 2000 Hz, 4000 Hz, 6000 Hz en 25000 Hz.
Opmerking: Hoe hoger de PWM-frequentie, hoe lager de grijsschaal van de dimmer.
Druk op ENTER om uw keuze te bevestigen.
Bekijk gratis de handleiding van Showtec Performer 1500 Fresnel, stel vragen en lees de antwoorden op veelvoorkomende problemen, of gebruik onze assistent om sneller informatie in de handleiding te vinden of uitleg te krijgen over specifieke functies.
Productinformatie
| Merk | Showtec |
| Model | Performer 1500 Fresnel |
| Categorie | Verlichting |
| Taal | Nederlands |
| Grootte | 5437 MB |







