Proel SON 24V 12A MS150 RACK handleiding
Handleiding
Je bekijkt pagina 28 van 40

28
1
11
1 General information
General informationGeneral information
General information
1.1 Environmental specifications
Operating temperature: -5 °C to +45 °C at 12 A.
Altitude : over 2000m, the max operating temperature decreases of 5°C every 1000 m.
Cooling operates transversally.
Storage temperature: -25 to +85 °C.
Operating relative humidity: 20 to 95 % without condensation,
Storage relative humidity: 10 to 95 %.
Environment class: 1 (according to EN 12101-10)
1.2 Electrical input and output specifications
1.2.1 Network input
- single-phase voltage: 220 V - 240 V.
- frequency: 50 Hz-60Hz.
- power consumption at full load: 380 W (PLN-24CH12) or 760 W (PRS-48CH12).
- maximum primary current @ 195 V: 2 A (SON 24V 12A MS150 RACK) or 4A (SON 48V 12A
MS150 RACK).
- class I.
- neutral and earthing systems: TT, TN, IT.
- two pole circuit breaker (D curve) to be provided upstream.
1.2.2 Output
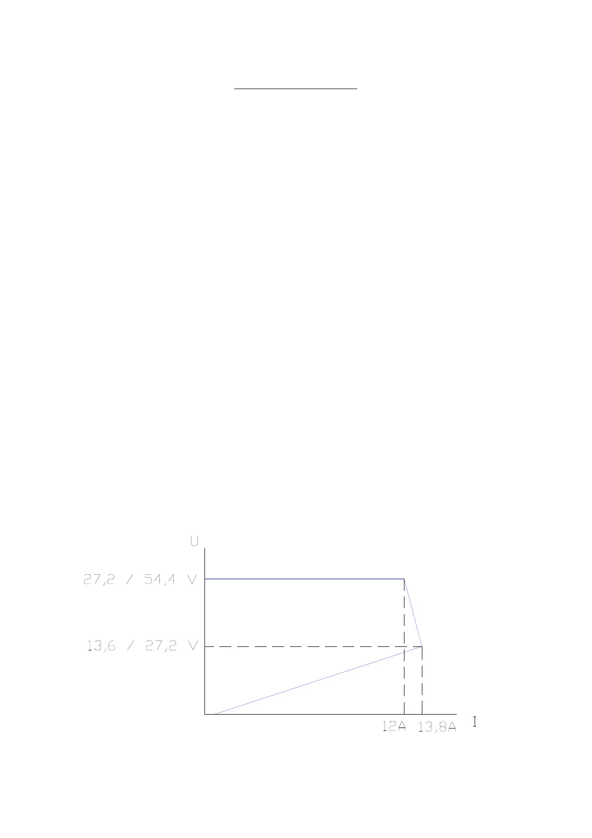
- Rated voltage: 24 V (SON 24V 12A MS150 RACK) or 48V (SON 48V 12A MS150 RACK).
- Floating voltage set at half-load and at 25 °C: 27.2 V
±0.5 %
or 54.4V
+/-0.5%.
- 6 main outputs with a current of 40A maximum per output (protection see chapter 7)
- 3 auxiliary outputs with a current of 5A maximum per output. (protection see chapter 7)
- the maximum total current of the 9 outputs is 150A.
- the power supply can operate without load current: Imin = 0 A.
- Rated output current of rectifier : 12A
- Switching time: 0s
Bekijk gratis de handleiding van Proel SON 24V 12A MS150 RACK, stel vragen en lees de antwoorden op veelvoorkomende problemen, of gebruik onze assistent om sneller informatie in de handleiding te vinden of uitleg te krijgen over specifieke functies.
Productinformatie
Merk | Proel |
Model | SON 24V 12A MS150 RACK |
Categorie | Niet gecategoriseerd |
Taal | Nederlands |
Grootte | 7033 MB |