Proel SON 24V 12A MS150 RACK handleiding
Handleiding
Je bekijkt pagina 16 van 40

16
1
11
1 Allgemeine Daten
Allgemeine DatenAllgemeine Daten
Allgemeine Daten
1.1 Angaben zur Umweltverträglichkeit
Temperaturbereich:
- Betrieb : -5 °C bis +45 °C bei 12A Last. Ab 2000m Höhe wird die maximale Temperatur bei 5°C je
1000 m vermindert. Kühlung wirkt transversal.
- Lagerung : -25 bis +85 °C.
Relative Feuchtigkeit :
- Betrieb : 20 à 95 % ohne Kondensation.
- Lagerung : 10 à 95 %
Umweltklasse: 1 (nach EN 12101-10)
1.2 Angaben zu den elektrischen Ein- und Ausgängen
1.2.1 Netzeingang
- Spannung, einphasig: 220 V - 240 V
- Frequenz: 50 Hz-60Hz
- Klasse I
- Sternpunktbetrieb: TT, TN, IT
- Primärstrom bei 195 V : 2 A (SON 24V 12A MS150 RACK) oder 4A (SON 48V 12A MS150
RACK)
- Vorgeschalteter zweipoliger D Kurve Trennschalter benötigt
1.2.2 Ausgang
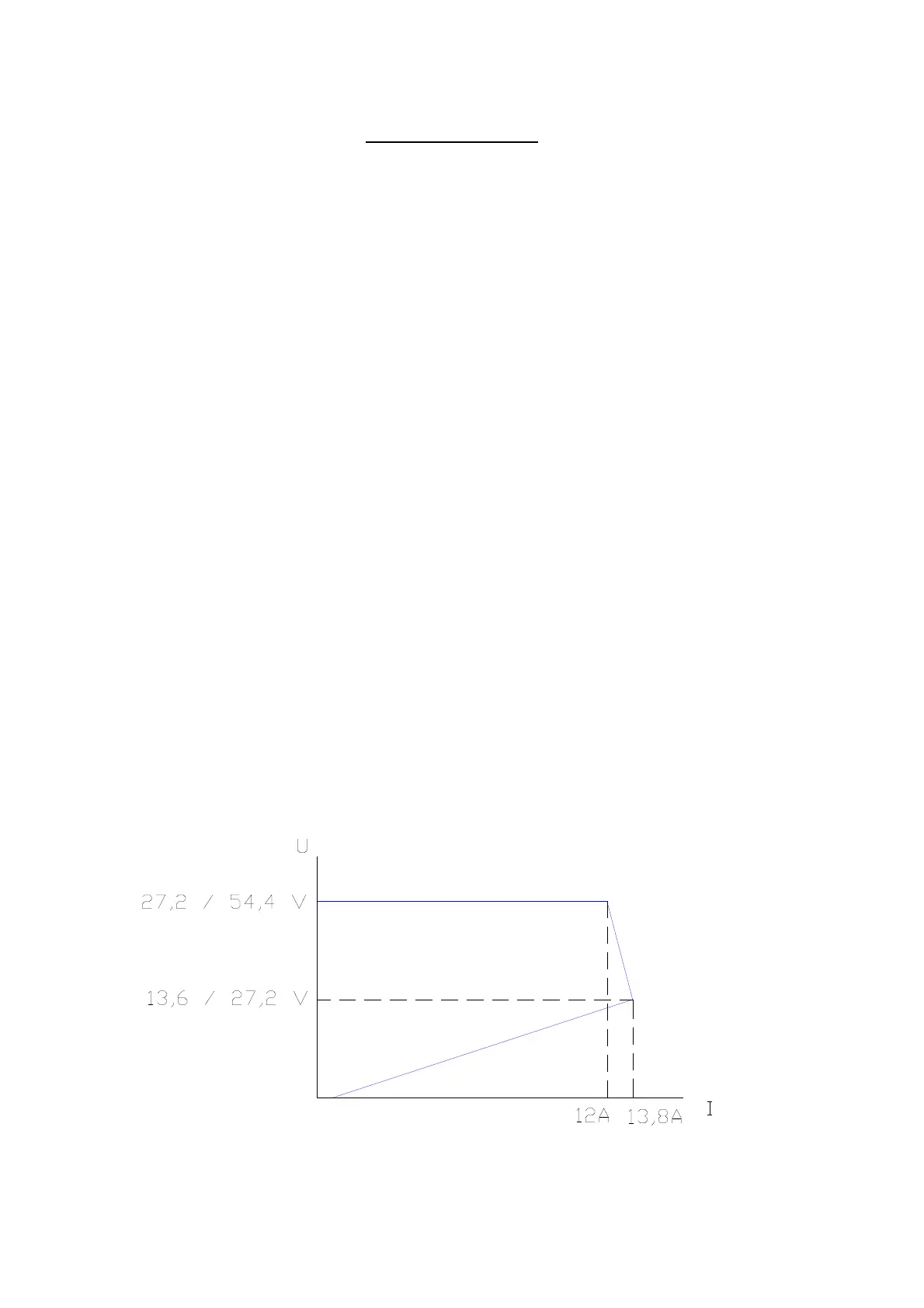
- Nennspannung: 24 V (SON 24V 12A MS150 RACK) oder 48V (SON 48V 12A MS150 RACK)
- Geregelte erdfreie Spannung bei mittlerer Last und 25 °C: 27,2 V
+/-0,5 %
oder 54.4V
+/-0.5%
- 6 Hauptausgänge mit je max 40A (Sicherung siehe Kap 7)
- 3 Hilfsausgänge mit je max 5A (Sicherung siehe Kap 7)
- Gesamter maximaler Strom für alle Ausgänge : 150A
- Die Stromversorgung kann ohne Last arbeiten: Imin = 0 A
- Die Erdung des DC Kreises ist durch den positiven oder negativen Pol der Batterie möglich.
- Nennstrom des Gleichrichters: 12A
- Unterbrechungszeit : 0s
Bekijk gratis de handleiding van Proel SON 24V 12A MS150 RACK, stel vragen en lees de antwoorden op veelvoorkomende problemen, of gebruik onze assistent om sneller informatie in de handleiding te vinden of uitleg te krijgen over specifieke functies.
Productinformatie
Merk | Proel |
Model | SON 24V 12A MS150 RACK |
Categorie | Niet gecategoriseerd |
Taal | Nederlands |
Grootte | 7033 MB |