Phoenix Contact CSS 1.5-1/3-EMC handleiding
Handleiding
Je bekijkt pagina 131 van 152

Derating for altitude and carrier frequency
109908_en_02 Phoenix Contact 131 / 150
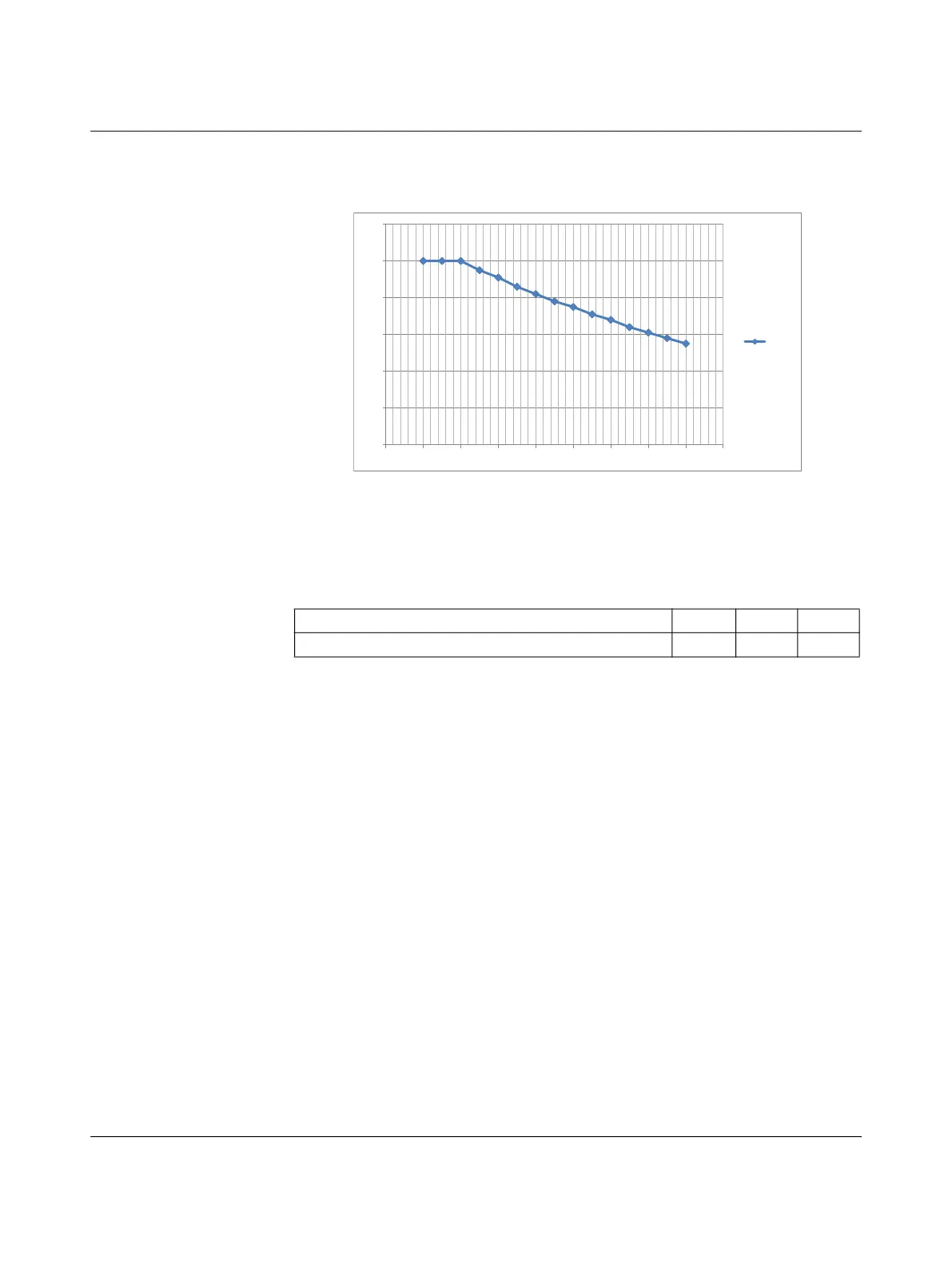
A 5.2 Derating curve for carrier frequency
Figure A-2 230 V models
Table A-6 Rated output current [%] of 230 V models for different carrier
frequencies
Frequency [kHz] 4 8 16
Rated output current [%] 100 82 55
0
20
40
60
80
100
120
024681012141618
230 V
Carrier frequency [kHz]
% of rated current
Bekijk gratis de handleiding van Phoenix Contact CSS 1.5-1/3-EMC, stel vragen en lees de antwoorden op veelvoorkomende problemen, of gebruik onze assistent om sneller informatie in de handleiding te vinden of uitleg te krijgen over specifieke functies.
Productinformatie
| Merk | Phoenix Contact |
| Model | CSS 1.5-1/3-EMC |
| Categorie | Niet gecategoriseerd |
| Taal | Nederlands |
| Grootte | 11973 MB |







