Peerless-AV XHB554 handleiding
Handleiding
Je bekijkt pagina 7 van 24

7
2022-07-06 #:180-9147-1
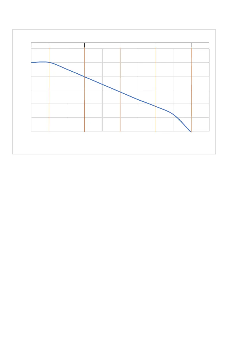
Operating Parameters
Use this graph to estimate solar load and its eect on maximum safe ambient temperature for the display.
Kiosks will incur an additional 5°C minimum temperature rise with the disclamer that insucent airow, high surface
area to volume ratio, additional internal electronics, and dark exterior colors will incur a higher temperature rise.
Peerless-AV Engineering should be consulted in these situations.
Peerless-AV Engineering must be consulted before placing the display into any enclosure not developed by
Peerless-AV. Peerless-AV Engineering management must approve this installation solution to support the native
warranty of the display.
60 Temp Max
60 20 8 7 6 5 4 3
60 25 8 7
0 60
100 60 0 60
200 60 1 59
300 60 2.1 57.9
400 60 3.2 56.8
500 60 4.3 55.7
600 60 5.4 54.6
700 60 6.4 53.6
800 60 7.6 52.4
900 60 10.2 49.8
50
52
54
56
58
60
62
0 100 200 300 400 500 600 700 800 900 1000
Temperature (⁰C)
Solar Load (W/m
2
)
Maximum Ambient Temperature vs Solar Load
Shade Partial Indirect Full Full Intense
Bekijk gratis de handleiding van Peerless-AV XHB554, stel vragen en lees de antwoorden op veelvoorkomende problemen, of gebruik onze assistent om sneller informatie in de handleiding te vinden of uitleg te krijgen over specifieke functies.
Productinformatie
| Merk | Peerless-AV |
| Model | XHB554 |
| Categorie | Televisie |
| Taal | Nederlands |
| Grootte | 2382 MB |

