Martin Audio W8LCI handleiding
Handleiding
Je bekijkt pagina 86 van 137

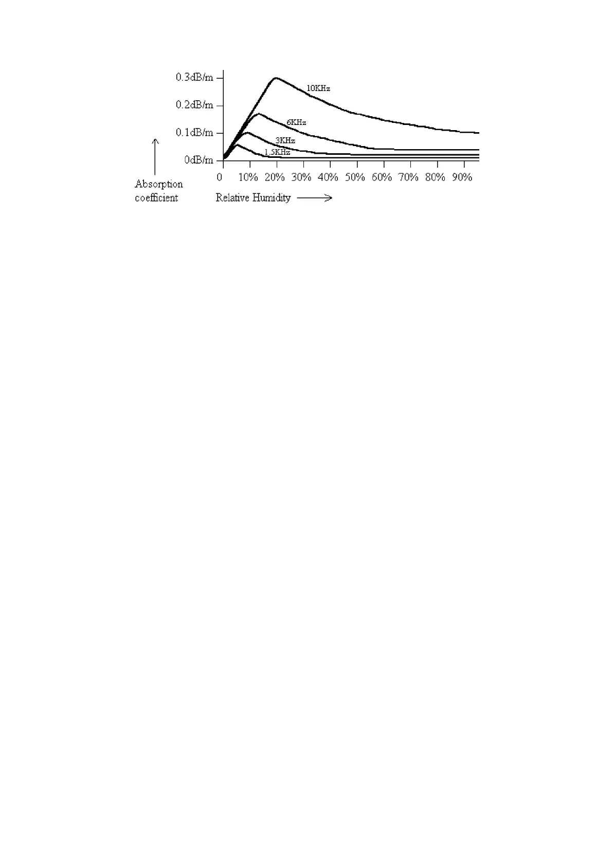
Under the above conditions air absorption at 10KHz can reach 0.3dB/m at 20% RH.
This means 30dB excess attenuation (over and above the 3dB per doubling of
distance) at 100m from the column. The incredible high frequency efficiency and
headroom of the W8L Longbow can prove beneficial here.
Air absorption also varies with temperature (see table below) and is notoriously
difficult to predict with accuracy. The best policy is to get your crew to check all
audience areas during the performance and apply a sensible amount of correction.
Luckily, a large audience tends to raise the local humidity so hf absorption often
reduces once the audience is in place. Line array systems should be corrected with
caution and distant audience areas rechecked at regular intervals during large events.
5.9 Delay systems
One of the notable advantages of line array columns over multi-cabinet arrays is the
greatly improved high frequency throw. Line arrays offer greater high frequency
output capability due to typically greater numbers of drivers per cabinet and also
improved summation between high frequency elements in each cabinet. However, all
sound sources are subject to the same losses due to propagation through the
atmosphere and there will come a point where there is not sufficient headroom to
compensate for the high frequency absorption and delay systems become necessary.
Air absorption (air excess attenuation) is a function of temperature, humidity, static
pressure and frequency. The relation between these quantities is quite complex but
losses always increase as frequency and distance from the source increases.
The table below shows the distance at which air absorption is causing a loss of 12dB at
8kHz for a range of temperatures and humidity. This frequency is the lower limit for
producing an acceptably full range sound and 12dB is the maximum boost that should
be applied to maintain acceptable system headroom.
You can see that at 20°C and 25% humidity there is a 12dB loss at 8kHz at only 62m
from the source and delay systems would be required to cover further. You can
also see that at 25°C and 40% humidity the distance is increased to 113m, which
would cover the majority of situations.
All material © 2007. Martin Audio Ltd. Subject to change without notice.
Bekijk gratis de handleiding van Martin Audio W8LCI, stel vragen en lees de antwoorden op veelvoorkomende problemen, of gebruik onze assistent om sneller informatie in de handleiding te vinden of uitleg te krijgen over specifieke functies.
Productinformatie
| Merk | Martin Audio |
| Model | W8LCI |
| Categorie | Niet gecategoriseerd |
| Taal | Nederlands |
| Grootte | 20138 MB |







