Hisense CF50XS1FW handleiding

136 pagina's
PDF beschikbaar

Handleiding

Je bekijkt pagina 67 van 136

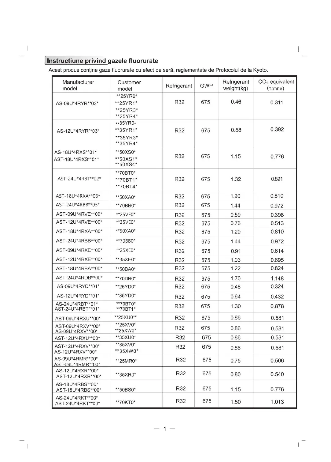
Bekijk gratis de handleiding van Hisense CF50XS1FW, stel vragen en lees de antwoorden op veelvoorkomende problemen, of gebruik onze assistent om sneller informatie in de handleiding te vinden of uitleg te krijgen over specifieke functies.

Productinformatie

MerkHisense
ModelCF50XS1FW
CategorieAirco
TaalNederlands
Grootte17930 MB