Handleiding
Bekijk gratis de handleiding van Hisense CA70BT1AW, stel vragen en lees de antwoorden op veelvoorkomende problemen, of gebruik onze assistent om sneller informatie in de handleiding te vinden of uitleg te krijgen over specifieke functies.
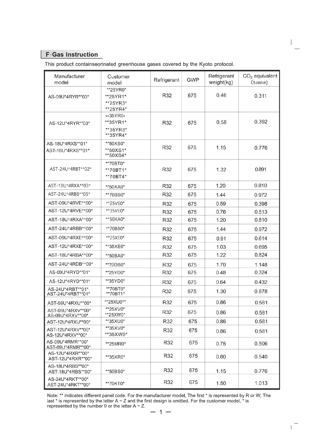
Productinformatie
| Merk | Hisense |
| Model | CA70BT1AW |
| Categorie | Airco |
| Taal | Nederlands |
| Grootte | 17930 MB |








