Hisense CA70BT1AW handleiding

136 pagina's
PDF beschikbaar

Handleiding

Je bekijkt pagina 32 van 136

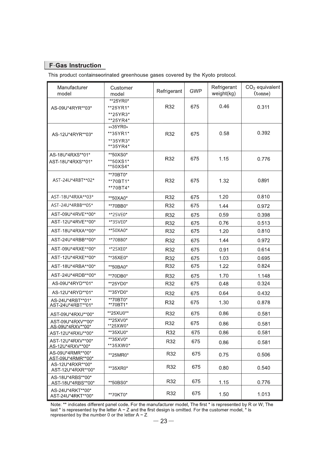
Bekijk gratis de handleiding van Hisense CA70BT1AW, stel vragen en lees de antwoorden op veelvoorkomende problemen, of gebruik onze assistent om sneller informatie in de handleiding te vinden of uitleg te krijgen over specifieke functies.

Productinformatie

MerkHisense
ModelCA70BT1AW
CategorieAirco
TaalNederlands
Grootte17930 MB