Hisense 5AMW125U4RTA handleiding

244 pagina's
PDF beschikbaar

Handleiding

Je bekijkt pagina 26 van 244

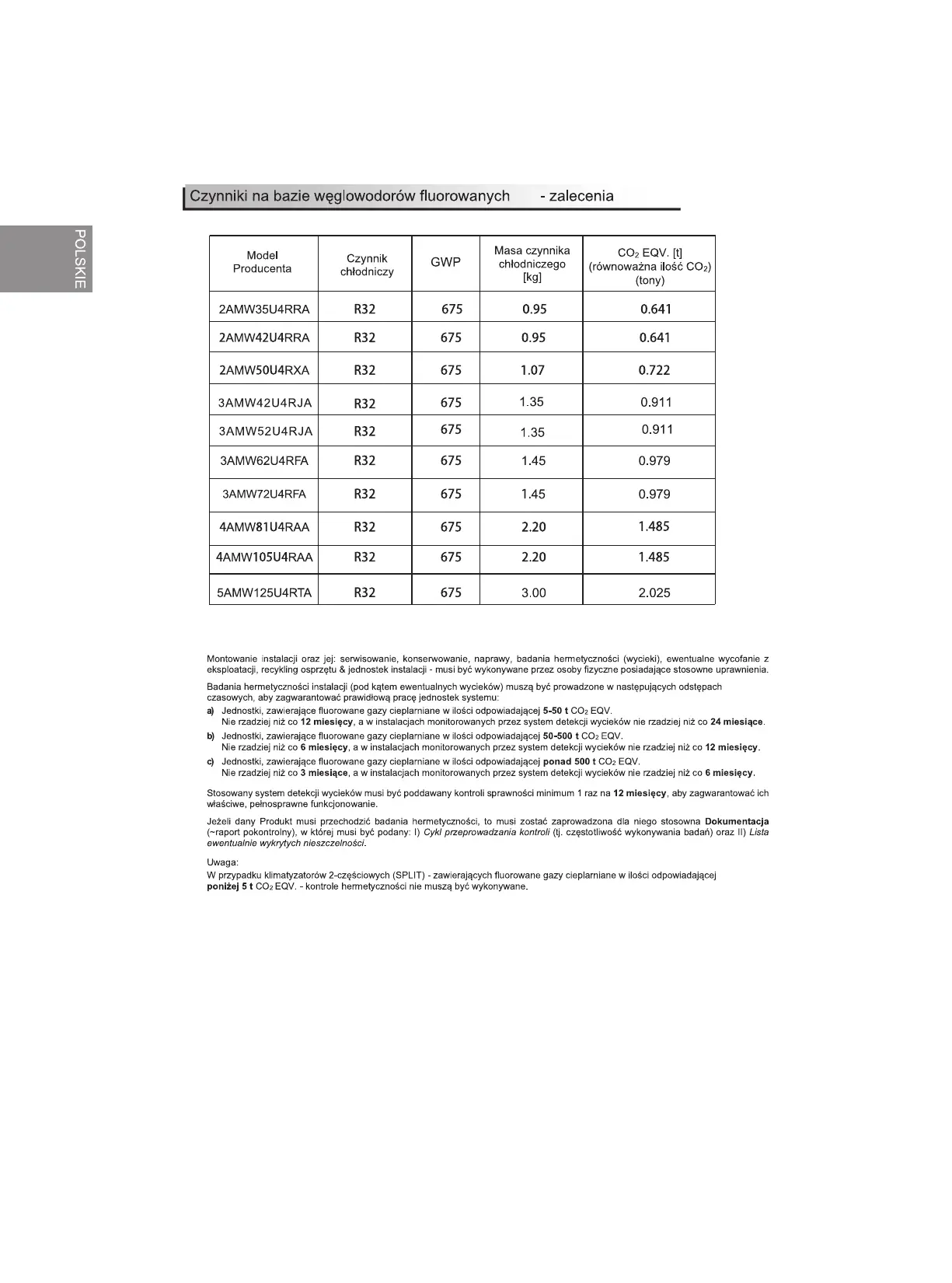
Bekijk gratis de handleiding van Hisense 5AMW125U4RTA, stel vragen en lees de antwoorden op veelvoorkomende problemen, of gebruik onze assistent om sneller informatie in de handleiding te vinden of uitleg te krijgen over specifieke functies.

Productinformatie

MerkHisense
Model5AMW125U4RTA
CategorieAirco
TaalNederlands
Grootte32108 MB