Handleiding
Je bekijkt pagina 64 van 84

Air Conditioner Service Manual
64
6.2.20 P9---The compressor driving protection (the compressor load
abnormal)
When compressor start up or in the process of operation, if:
(1). MCU can’t test the feedback signal from compressor, or
(2). Tested a abnormal signal from compressor, or
(3). The compressor startup abnormal.
The outdoor unit will shut off, and show P9 protection.
(The unit will re-startup 6 times continuously, if it still can’t work normal, then show P9 code)
6.2.21 PA--- Communication failure for TOP flow unit/ Preset mode conflict
Cause: 1.If the first - turned - on indoor unit (with the highest priority) operates in cooling/dehumidification mode,
other indoor units can only operate in cooling/dehumidification mode and air supply mode. Otherwise, the indoor unit
operating in other modes will report a mode conflict fault, and it will not be allowed to start up, but this will not affect
the indoor units that are already running.
2.If the first - turned - on indoor unit (with the highest priority) operates in heating mode, other indoor units can
only operate in heating mode. Otherwise, the indoor unit operating in other modes will report a mode conflict fault,
and it will not be allowed to start up, but this will not affect the indoor units that are already running.
Solution: Set all indoor units to the same mode.
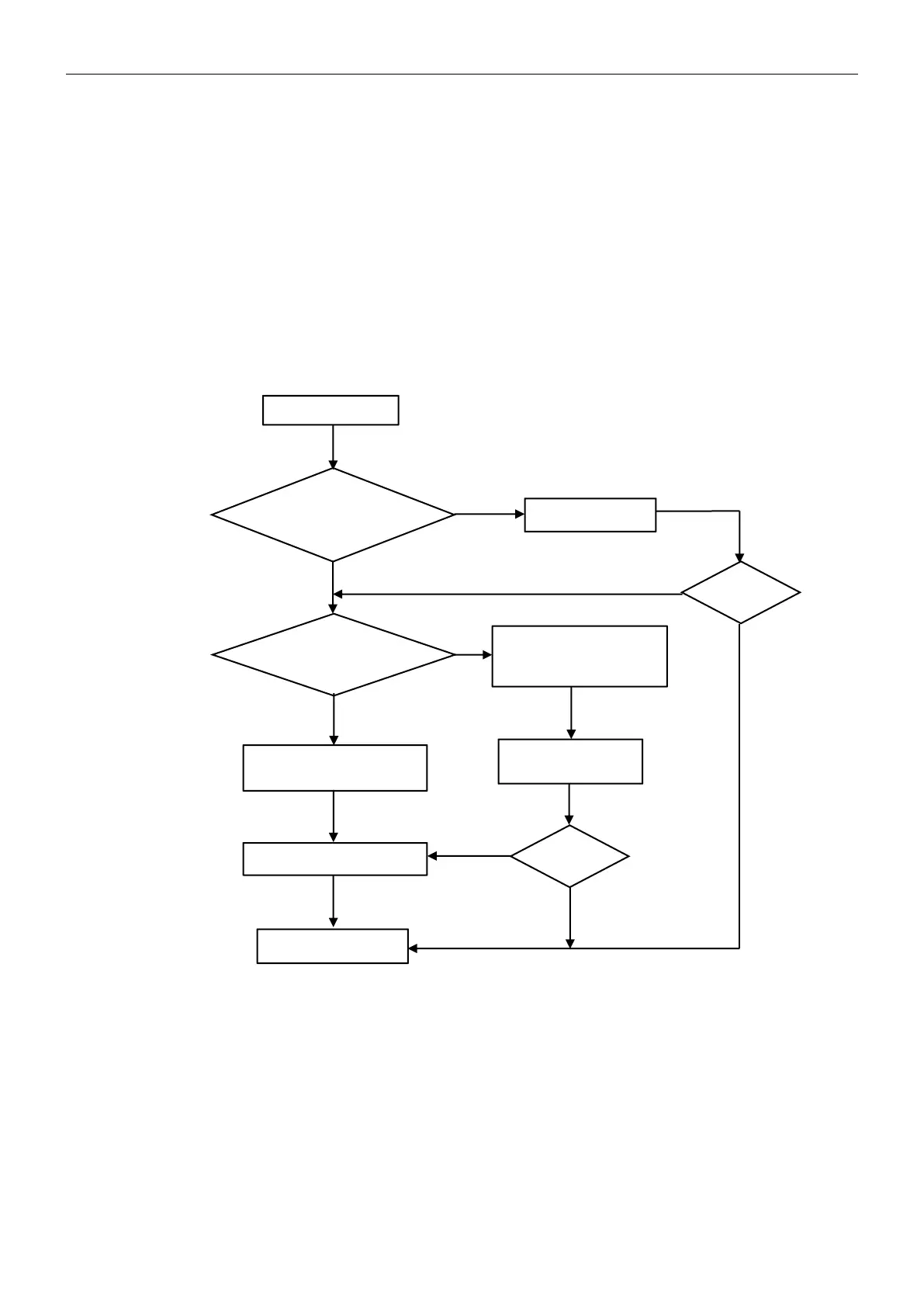
Display P9
Normal protection as
the High pressure and
Low pressure not
End
Check the compressor
wires U/V/W sequency
& connection,
CORRECT?
No
Yes
No
Starts up the unit less than
3 minutes while it
stopped?
The compressor stops at
once while it starts up
Yes
Re-correct wires
Replace ODU PCB
Still P9?
Still P9?
Yes
No
No
Yes
Re-start after
3minutes
Bekijk gratis de handleiding van Daizuki DXMHT12E424-24, stel vragen en lees de antwoorden op veelvoorkomende problemen, of gebruik onze assistent om sneller informatie in de handleiding te vinden of uitleg te krijgen over specifieke functies.
Productinformatie
Merk | Daizuki |
Model | DXMHT12E424-24 |
Categorie | Airco |
Taal | Nederlands |
Grootte | 16081 MB |