Daikin RXM20N2V1B9 handleiding
Handleiding
Je bekijkt pagina 8 van 68

1 | General safety precautions
Installer reference guide
8
ARXM50~71+RXM42~71N2V1B(9) + RXP50~71M2V1B +
RXA42+50+RXF50+60B2V1B + RXF71A2V1B + RXJ50N2V1B +
ARXF50~71A2V1B
R32 split series
4P513661-7H – 2019.12
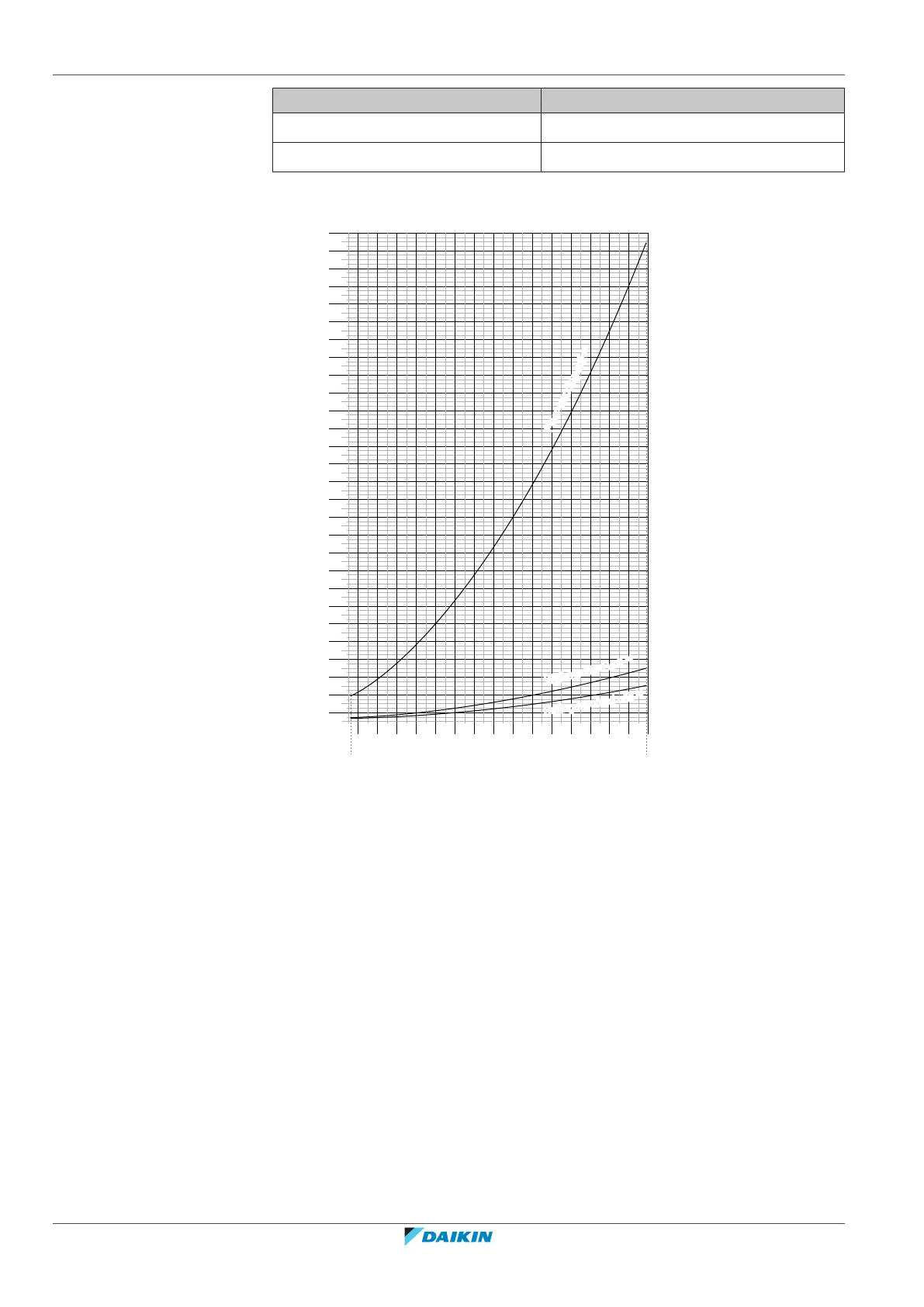
If the installation height is… Then use the graph or table for…
1.8≤x<2.2m Wall-mounted units
≥2.2m Ceiling-mounted units
3 Use the graph or table to determine the minimum floor area.
0
10
20
30
40
50
60
70
80
90
100
110
120
130
140
150
160
170
180
190
200
210
220
230
240
250
260
270
280
290
300
310
320
330
340
350
360
370
380
390
400
410
420
430
440
450
460
470
480
490
500
510
520
530
540
550
1.8
2
2.2
2.4
2.6
2.8
3
3.2
3.4
3.6
3.8
4
4.2
4.4
4.6
4.8
5
5.2
5.4
5.6
5.8
6
6.2
6.4
6.6
6.8
7
7.2
7.4
7.6
7.8
1.843 7.956
8.0
A
min
(m
2
)
Floor-standing unit
(c)
Wall-mounted unit
(b)
Ceiling-mounted unit
(a)
m (kg)
Bekijk gratis de handleiding van Daikin RXM20N2V1B9, stel vragen en lees de antwoorden op veelvoorkomende problemen, of gebruik onze assistent om sneller informatie in de handleiding te vinden of uitleg te krijgen over specifieke functies.
Productinformatie
Merk | Daikin |
Model | RXM20N2V1B9 |
Categorie | Niet gecategoriseerd |
Taal | Nederlands |
Grootte | 8936 MB |