Cateye MSC-2Dx handleiding
Handleiding
Je bekijkt pagina 24 van 33

MSC-2Dx
24
HARTSLAG TRAINING
Onderstaand volgt zeer algemene informatie over hartslagtraining. Er zijn vele goede boeken
over dit onderwerp verschenen. Ga naar een goede boekwinkel of kijk op internet voor meer
gedtailleerde informatie over hartslagtraining.
In het algemeen zal de hartslag tijdens beweging stijgen. Hoe harder je traint, hoe harder het
hart slaat. Daarom is de hartslag een goede graadmeter voor de trainingsintensiteit. Het instel-
len van een bepaalde hartslag en proberen die waarde aan te houden is een wetenschappelijke
trainingsmethode die zowel door topatleten als door beginners gebruikt kan worden. Raadpleeg
een medisch specialist of trainer voordat u aan een trainingsprogramma begint.
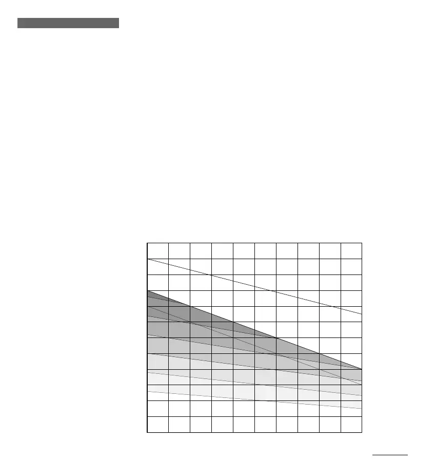
1. Training voor een betere gezondheid
Door het instellen van uw bereik (uw hartslag bereik) kunt u door fietsen uw gezondheid
verbeteren. Afhankelijk van uw fysieke gesteldheid kunt u een trainingsniveau van 30 tot
70% bereiken. De gewenste frequentie is meer dan drie keer in de week en meer dan twintig
of dertig minuten per keer. Kijk om uw doel te bereiken naar de linkerkant van de tabel waarin
de relatie tussen hartslag en trainingsniveau staat afgebeeld. Voor beginners is het 30%
niveau aan te raden; van hieruit kunt u het niveau iovoeren, afhankelijk van uw ervaring. Wilt
u het hoogste bereiken, dan is 70% het aanbevolen niveau. Wilt u gewicht verliezen, dan
kunt u het beste langere tijd op een iets lager niveau trainen; meer dan een uur is mogelijk.
20 30 40 50 60 70
hartslag (slagen/min)
leeftijd
200
180
160
140
120
100
90
doelgebied
30%
30%
40%
40%
50%
50%
60%
70%
70%
80%
80%
30%
40%
50%
60%
70%
80%
maximum hartslag (204
maximum hartslag (204
– 0,69 x leeftijd)
190 – leeftijd
180 – leeftijd
maximum hartslag (204
– 0,69 x leeftijd)
doelgebied
190 – leeftijd
180 – leeftijd
trainingsniveau
trainingsniveau
trainingsniveau
Bekijk gratis de handleiding van Cateye MSC-2Dx, stel vragen en lees de antwoorden op veelvoorkomende problemen, of gebruik onze assistent om sneller informatie in de handleiding te vinden of uitleg te krijgen over specifieke functies.
Productinformatie
| Merk | Cateye |
| Model | MSC-2Dx |
| Categorie | Niet gecategoriseerd |
| Taal | Nederlands |
| Grootte | 3240 MB |





